Explore Chevrolet Monte Carlo fuse box diagrams in this practical guide that outlines the electrical layout of the fifth-generation coupe. In this article, we consider the fifth-generation Chevrolet Monte Carlo, produced from 1994 to 1999 , and provide fuse box diagrams for Chevrolet Monte Carlo models from 1995, 1996, 1997, 1998 and 1999 , along with information about the location of the fuse panels and the assignment of each fuse and relay (fuse layout).
Fuse Box Locations
Passenger Compartment
The fuse box is located in the passenger side of the instrument panel, behind the cover.
Engine Compartment
There are two blocks that are located in the engine compartment, one on the passenger side, the other on the driver’s side.
Fuse Box Diagrams
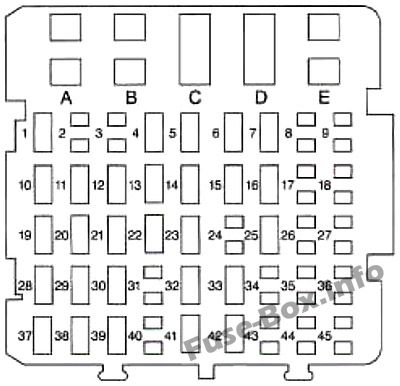
1995
Passenger Compartment
Fuses
Assignment of the fuses in the Instrument Panel (1995)
Fuse Data
Full access is available to registered users — log in or register.
Log in or register
No. Description 1 CIGAR LIGHTER — Instrument Panel and Console Cigar Lighter 5 HAZARD FLASHER 10 I/P ELECTRONICS BATTERY FEED — Chime Module, Electronic Brake Control Module (EBCM), Theft Deterrent Module, Radio 11 AIR BAG #2 — Sensing and Diagnostic Module (SDM), Starter Relay 12 ANTI-THEFT — Theft Deterrent Module 14 HVAC BLOWER MOTOR — Blower Motor Relay 15 HVAC #1 — Air Temperature Valve Motor, Daytime Running Lamps Module (with DRL), HVAC Control Assembly, Multifunction Lever Cruise Control Switch 16 REAR DEFOG — HVAC Control Assembly Rear Window Defogger Switch 19 ER ACCESSORY #1– Door Lock Switches 21 AIR BAG #1 — Sensing and Diagnostic Module (SDM) 23 STOPLAMPS — TCC/Brake Switch 24 HVAC #2 — HVAC Control Assembly, Solenoid Box 28 CTSY LAMPS — Vanity Mirrors, Defogger Relay, I/P Compartment Lamp, Trunk Courtesy Lamp, Header Courtesy and Reading Lamp, US Lighted Rearview Mirror, Dome Lamp 29 WIPER — Wiper Switch 30 TURN SIGNAL — Turn Signal Flasher 32 POWER LOCKS — Door Lock Relay, Keyless Entry Receiver 33 ABS — Electronic Brake Control Module (EBCM), ABS Relay 38 RADIO — Radio 39 I/P ELECTRONICS IGNITION FEED — Headlamp Switch, Cruise Control Cut-Out Switch, Sensing and Diagnostic Module (SDM), TCCBrake Switch, Instrument Cluster, Chime Module, Keyless Entry Receiver, Daytime Running Lamps Module (with DRL)
This content requires JavaScript and a valid membership to view.
Circuit Breakers
Assignment of the circuit breakers in the Instrument Panel (1995)
Fuse Data
Full access is available to registered users — log in or register.
Log in or register
No. Description C Power Windows D Power Seats
This content requires JavaScript and a valid membership to view.
Engine Compartment No.1
Fuses
Assignment of the fuses in the Engine Compartment Fuse Box №1 (1995)
Fuse Data
Full access is available to registered users — log in or register.
Log in or register
Short-Code/No. Description R/CMPT REL Remote Trunk Release ECM BAT Powertrain Control Module (PCM), Fuel Pump/Oil Pressure Switch, Fuel Pump Relay, Fan Cont #1 Relay TCC Automatic Transaxle, Transaxle Range Switch (VIN M only) ENG EMIS Generator, Digital Exhaust Recirculation (DEGR) Valve, Evaporative Emissions (EVAP) Canister Purge Valve Solenoid, Heated Oxygen Sensor, Fan Cont #2 Relay, A/C CMPR Relay (VIN M only) CRUISE Cruise Control Module, A/C CMPR Relay (VIN X only) F/INJN Fuel Injectors, High Resolution 24X Crankshaft Position Sensor, Camshaft Position Sensor ECM IGN Powertrain Control Module (PCM), Mass Air Flow (MAF) Sensor (VIN X only) ELEK IGN Electronic Ignition (EI) Control Module 10 I/P Fuse Block 11 FAN CONT #1 Relay 12 Passenger Side Underhood Electrical Center and I/P Fuse Blocks: Fuses 5, 14,23 and 32 13 FAN CONT #2 Relay and I/P Fuse Block: Fuse 16, Power Seat Circuit Breaker “D”
This content requires JavaScript and a valid membership to view.
Relays
Assignment of the relays in the Engine Compartment Fuse Box №1 (1995)
Fuse Data
Full access is available to registered users — log in or register.
Log in or register
No. Description 14 FUEL PUMP 15 A/C CMPR 16 FAN CONT #2 — Secondary Cooling Fan (Passenger Side) 17 FAN CONT #1– Primary Cooling Fan (Driver Side) 18 Not Used
This content requires JavaScript and a valid membership to view.
Engine Compartment No.2
Fuses
Assignment of the fuses in the Engine Compartment Fuse Box №2 (1995)
Fuse Data
Full access is available to registered users — log in or register.
Log in or register
Short-Code/No. Description FOG LPS Fog Lamps PARK LPS Headlamp Switch HORN Horn Relay, Underhood Lamp VAR P/S EVO Steering 10 IGN SW2 — VP Fuse Block: PWR WDO and Circuit Breaker “D”; Passenger Side Underhood Electrical Center: TCC and ENG EMIS Fuses 11 IGN SW1 — VP Fuse Block: Radio, Wiper, HVAC, ABS and Turn Signal Fuses; Passenger Side Underhood Electrical Center: F/IJN, ECM IGN and ELEK IGN Fuses 12 HD LPS — Circuit Breaker to Headlamp Switch 13 ABS — ABS Relay
This content requires JavaScript and a valid membership to view.
Relays
Assignment of the fuses in the Engine Compartment Fuse Box №2 (1995)
Fuse Data
Full access is available to registered users — log in or register.
Log in or register
No. Description 14 ABS — Anti-Lock Brake System 15 FOG LPS 16 HORN
This content requires JavaScript and a valid membership to view.
1996
Passenger Compartment
Fuses
Assignment of the fuses in the Instrument Panel (1996)
Fuse Data
Full access is available to registered users — log in or register.
Log in or register
No. Description 1 CIGAR LIGHTER — Instrument Panel and Console Cigar Lighter 3 DRL MDL 4 HVAC #2 — HVAC Control Assembly, Soloneid Box 5 HAZARD FLASHER 6 POWER ACCESSORY #2 — Sunroof Control Unit 10 I/P ELECTRONICS BATTERY FEED — Chime Module, Electronic Brake Control Module (EBCM), Theft Deterrent Module, Radio 11 STARTER RELAY 12 ANTI-THEFT — Theft Deterrent Module 13 ABS — Electronic Brake Control Module (EBCM), ABS Relay 14 HVAC BLOWER MOTOR — Blower Motor Relay 15 HVAC #1 — Air Temperature Valve Motor, Daytime Running Lamps Module (with DRL), HVAC Control Assembly, Multifunction Lever Cruise Control Switch 16 REAR DEFOG — HVAC Control Assembly Rear Window Defogger Switch 19 POWER ACCESSORY #1– Trunk Courtesy Lamp, Door Lock Switches, Power Mirror Switch 21 AIR BAG — Air Bag System 23 STOPLAMPS — TCC/Brake Switch 24 CRUISE CONTROL 28 CTSY LAMPS — Vanity Mirrors, Defogger Relay, I/P Compartment Lamp, Header Courtesy and Reading Lamp, I/S Lighted Rearview Mirror, Dome Lamp 29 WIPER — Wiper Switch 30 TURN SIGNAL — Turn Signal Flasher 32 POWER LOCKS — Door Lock Relay, Keyless Entry Receiver 38 RADIO — Radio, Steering Wheel Radio Switches 39 I/P ELECTRONICS IGNITION FEED — Headlamp Switch, Cruise Control Cut-Out Switch, Sensing and Diagnostic Module (SDM), TCC/Brake Switch, Instrument Cluster, Chime Module, Keyless Entry Receiver
This content requires JavaScript and a valid membership to view.
Circuit Breakers
Assignment of the circuit breakers in the Instrument Panel (1996)
Fuse Data
Full access is available to registered users — log in or register.
Log in or register
No. Description C Power Windows D Power Seats
This content requires JavaScript and a valid membership to view.
Engine Compartment No.1
Fuses
Assignment of the fuses in the Engine Compartment Fuse Box №1 (1996)
Fuse Data
Full access is available to registered users — log in or register.
Log in or register
Short-Code/No. Description A.I.R. PMP A.I.R. Relay R/CMPT REL Remote Trunk Release, Back-Up Lamps ECM BAT Powertrain Control Module (PCM), Fuel Pump, Fuel Pump Relay, Fan Cont #1 Relay A/C CONT A/C CMPR Relay (VIN M only) TCC Automatic Transaxle, Transaxle Range Switch (VIN M only) F/INJN Fuel Injectors ECM IGN Powertrain Control Module (PCM), Mass Air Flow (MAF) Sensor (VIN X only), EGR, CCP, Oxygen Sensor, VAC CAN SW, Fan #2 Relay ELEK IGN Electronic Ignition (EI) Control Module 10 I/P Fuse Block 11 FAN CONT #1 Relay 12 Passenger Side Underhood Electrical Center and I/P Fuse Blocks: Fuses 5, 14,23 and 32 13 FAN CONT #2 Relay and I/P Fuse Block: Fuse 16, Power Seat Circuit Breaker “D”
This content requires JavaScript and a valid membership to view.
Relays
Assignment of the relays in the Engine Compartment Fuse Box №1 (1996)
Fuse Data
Full access is available to registered users — log in or register.
Log in or register
No. Description 14 FUEL PUMP 15 A/C CMPR 16 FAN CONT #2 — Secondary Cooling Fan (Passenger Side) 17 FAN CONT #1– Primary Cooling Fan (Driver Side) 18 Ignition Relay
This content requires JavaScript and a valid membership to view.
Engine Compartment No.2
Fuses
Assignment of the fuses in the Engine Compartment Fuse Box №2 (1996)
Fuse Data
Full access is available to registered users — log in or register.
Log in or register
Short-Code/No. Description FOG LPS Fog Lamps PARK LPS Headlamp Switch HORN Horn Relay, Under-hood Lam VAR P/S Steering ABS Anti-Lock Brake System 10 IGN SW2 — VP Fuse Block: PWR WDO and Circuit Breaker “D”; Passenger Side Under-hood Electrical Center: TCC and ENG EMIS Fuses 11 IGN SW1 — VP Fuse Block: Radio, Wiper, HVAC, ABS and Turn Signal Fuses; Passenger Side Under-hood Electrical Center: F/IJN, ECM IGN and ELEK IGN Fuses 12 HD LPS — Circuit Breaker to Headlamp Switch 13 ABS — ABS Relay
This content requires JavaScript and a valid membership to view.
Relays
Assignment of the relays in the Engine Compartment Fuse Box №2 (1996)
Fuse Data
Full access is available to registered users — log in or register.
Log in or register
No. Description 14 ABS — Anti-Lock Brake System 16 HORN
This content requires JavaScript and a valid membership to view.
1997
Passenger Compartment
Fuses
Assignment of the fuses in the Instrument Panel (1997)
Fuse Data
Full access is available to registered users — log in or register.
Log in or register
No. Description 1 CIGAR LIGHTER — Instrument Panel and Console Cigar Lighter 4 WAC– WAC Control Assembly Solenoid Box, Mix Motor, DRL Module, HVAC Control Head, Blower Control Switch 5 HAZARD FLASHER 6 R.H. SPOT LAMP (S.E.O.) 10 UP ELECTRONICS BATTERY FEED — Chime Module, Electronic Brake Control Module (EBCM), Theft-Deterrent Module, Radio, ALDL 11 STARTER RELAY 12 ANTI-THEFT — Theft Deterrent Module 13 ABS — Electronic Brake Control Module (EBCM), ABS Relay 14 HVAC BLOWER MOTOR — Blower Motor Relay 15 L.H. SPOT LAMP (S.E.O.) 19 POWER ACCESSORY (Power)#l — Door Lock Switches, Trunk Courtesy Lamp, O/S Mirror Switch 20 POWER ACCESSORY #2–(Sunroof) Control Unit 21 AIR BAG — Air Bag System 22 CRUISE CONTROL–Cruise Control Cut-Out Switch 23 STOPLAMPS — TCC/Brake Switch 25 ENGLISWMETRIC (S.E.O.) 28 CTSY LAMPS — Vanity Mirrors, IP Compartment Lamp, Header Courtesy and Reading Lamp, US Lighted Rearview Mirror, Dome Lamp 29 WIPER — Wiper Switch 30 TURN SIGNAL — Turn Signal Flasher 32 POWER LOCKS — Door Lock Relay, Keyless Entry Receiver 33 DRL MODULE 37 REAR DEFOG–HVAC Control Assembly Rear Window Defogger Switch 38 RADIO — Radio, Steering Wheel Radio Switches, Power Drop 39 I/P ELECTRONICS IGNITION FEED — Headlamp Switch, TCCBrake Switch, Instrument Cluster, Chime Module, Keyless Entry Receiver, BTSI SwitchUnderhood Electrical Center – Passenger Side 41 POWER DROP 42 ENHANCED EVAP. SOLENOID
This content requires JavaScript and a valid membership to view.
Circuit Breakers
Assignment of the circuit breakers in the Instrument Panel (1997)
Fuse Data
Full access is available to registered users — log in or register.
Log in or register
No. Description C Power Windows D Power Seats
This content requires JavaScript and a valid membership to view.
Engine Compartment No.1
Fuses
Assignment of the fuses in the Engine Compartment Fuse Box №1 (1997)
Fuse Data
Full access is available to registered users — log in or register.
Log in or register
Short-Code/No. Description R/CMPT REL Remote Trunk Release, Back-Up Lamps PCM BAT Powertrain Control Module (PCM), Fuel Pump, Fuel Pump Relay, Fan Cont#l and #2 Relay A/C CONT A/C CMPR Relay (VIN M only) TRANS Automatic Transaxle, Transaxle Range Switch (VIN M only) F/INJN Fuel Injectors PCM IGN Powertrain Control Module (PCM), Mass Air Flow (MAF) Sensor (VIN X only), EGR, CCP, Oxygen Sensor, Vacuum Canister Switch ELEK IGN Electronic Ignition (EI) Control Module 10 I/P Fuse Block 12 Passenger’s Side Under-hood Electrical Center, FPMP Relay, Cooling Fans #I and #2, Ignition Relay, P/N Switch 13 FAN CONT #1 Relay
This content requires JavaScript and a valid membership to view.
Relays
Assignment of the fuses in the Engine Compartment Fuse Box №1 (1997)
Fuse Data
Full access is available to registered users — log in or register.
Log in or register
No. Description 14 FUEL PUMP 15 A/C CMPR 16 FAN CONT #2 — Secondary Cooling Fan (Passenger Side) 17 FAN CONT #1– Primary Cooling Fan (Driver Side) 18 Ignition Relay
This content requires JavaScript and a valid membership to view.
Engine Compartment No.2
Fuses
Assignment of the fuses in the Engine Compartment Fuse Box №2 (1997)
Fuse Data
Full access is available to registered users — log in or register.
Log in or register
Short-Code/No. Description FAN#3 FAN CONT #3 Relay PARK LPS Headlamp Switch HORN Horn Relay, Under-hood Lamp ABS Anti-Lock Brake System 11 IGN SW1 — I/P Fuse Block: Radio, Wiper, HVAC, ABS and Turn Signal Fuses PWR WDO and Circuit Breaker D; Passenger’s Side Under-hood Electrical Center: F/IJN, ECM IGN, TCC, ENG EMIS and ELEK IGN Fuses 12 HD LPS — Circuit Breaker to Headlamp Switch 13 ABS — ABS Relay
This content requires JavaScript and a valid membership to view.
Relays
Assignment of the relays in the Engine Compartment Fuse Box №2 (1997)
Fuse Data
Full access is available to registered users — log in or register.
Log in or register
No. Description 14 ABS — Anti-Lock Brake System 15 FAN CONT #3 — Secondary Cooling Fan (Passenger’s Side) 16 HORN
This content requires JavaScript and a valid membership to view.
1998, 1999
Passenger Compartment
Fuses
Assignment of the fuses in the Instrument Panel (1998, 1999)
Fuse Data
Full access is available to registered users — log in or register.
Log in or register
No. Description 1 CIGAR LIGHTER — Instrument Panel and Console Cigar Lighter 2 Not Used 3 Not Used 4 HVAC — HVAC Control Assembly Solenoid Box, Mix Motor, DRL Module, HVAC Control Head, Defogger Relay, (S.E.O.) Digital Speedometer 5 Hazard Flash 6 R.H. Spot Lamp (S.E.O 7 Starter Relay 8 Not Used 9 Not Used 10 I/P Electronics Battery — Chime Module, Electronic Brake Control Module (EBCM), Theft-Deterrent Module, Radio DL 11 Power Accessory #2 — Sunroof Control Unit, (S.E.O.) Accessory Feed 12 Anti-Theft/PCM — Theft-Deterrent Module, Powertrain Control Module, (PCM) IGN Syst. Relay 13 ABS — Electronic Brake Control Module (EBCM), ABS Relay 14 HVAC Blower Motor — Blower Motor Relay 15 L.H. Spot Lamp (S.E.O) 16 Steering Wheel Control #1 — Steering Wheel Radio Control Lighting 17 Not Used 18 Not Used 19 Power Accessory #1 — Door Lock Switches, Trunk Courtesy Lamp, O/S Mirror Switch, (S.E.O.) Emergency Vehicle-Rear Compartment Lid Lamp or Window Panel Lamps 20 Steering Wheel Control #2 — Steering Wheel Radio Controls 21 Air Bag — Air Bag System 22 Cruise Control — Cruise Control Cut-Out Switch, Cruise Control Module, Turn Signal Cruise Control Switch 23 Stoplamps — Stoplamp Switch (Brake) 24 Not Used 25 English/Metric (S.E.O.) 26 Not Used 27 Not Used 28 CTSY Lamps — Vanity Mirrors, I/P Compartment Lamp, US Lighted Rearview Mirror, Dome Lamp 29 WIPER — Wiper Switch 30 TURN SIGNAL — Turn Signal Flasher 31 Not Used 32 Power Locks — Door Lock Relay, Remote Keyless Entry Receiv 33 DRL MDL — Daytime Running Lamp Module, (S.E.O.) Accessory Switch 34 Not Used 35 Not Used 36 Not Used 37 Rear Defog — Rear Window Defogger Switch Relay 38 Radio — Radio, Power Drop 39 I/P Electronics Ignition Feed — Headlamp Switch, Instrument Cluster, Chime Module, Keyless Entry Receiver, Stoplamp switch (TCC and BTSI) (S.E.O.) Accessory Switch 40 Not Used 41 Power Drop 42 Evap. Sol. — Evaporation Emissions (EVAP) Canister Vent Solenoid Valve 43 Not Used 44 Not Used 45 Not Used
This content requires JavaScript and a valid membership to view.
Circuit Breakers
Assignment of the circuit breakers in the Instrument Panel (1998, 1999)
Fuse Data
Full access is available to registered users — log in or register.
Log in or register
No. Description A Not Used B Not Used C Power Windows D Power Seats E Not Used
This content requires JavaScript and a valid membership to view.
Engine Compartment No.1
Fuses
Assignment of the fuses in the Engine Compartment Fuse Box №1 (1998, 1999)
Fuse Data
Full access is available to registered users — log in or register.
Log in or register
Short-Code/No. Description R/CMPT REL Remote Trunk Release, Back-up Lamps, Remote Control Door Lock Receive PCM BAT Powertrain Control Module (PCM), Fuel Pump Relay, Fan Cont #1 and #2 Rela A/C CONT A/C CMPR Relay TRANS Automatic Transaxle F/INJN Fuel Injectors PCM IGN Mass Air Flow (MAF) Sensor Heated Oxygen Sensor #1 and #2 Evaporative Emissions (EVAP) Canister Purge Solenoid Valve ELEK IGN Electronic Ignition (EI) Control Module 10 I/P Fuse Block 12 Passenger’s Side Underhood Electrical Center, IGN SYST Relay, WCMPT REL Fuse, PCM BAT Fuse 13 FAN CONT #1 Relay
This content requires JavaScript and a valid membership to view.
Relays
Assignment of the fuses in the Engine Compartment Fuse Box №1 (1998, 1999)
Fuse Data
Full access is available to registered users — log in or register.
Log in or register
No. Description 14 FUEL PUMP 15 A/C CMPR 16 FAN CONT #2 — Secondary Cooling Fan (Passenger Side) 17 FAN CONT #1– Primary Cooling Fan (Driver Side) 18 IGN SYST
This content requires JavaScript and a valid membership to view.
Engine Compartment No.2
Fuses
Assignment of the fuses in the Engine Compartment Fuse Box №2 (1998, 1999)
Fuse Data
Full access is available to registered users — log in or register.
Log in or register
No. Description FAN#3 FAN #3 Relay PARK LPS Headlamp Switch HORN Horn Relay ABS Anti-Lock Brake System 11 Circuit Breaker C, Starter Relay, STR WHL Control # 2, Power Accessory #2, and Theft Deterrent Relay 12 HD LPS — Circuit Breaker to Headlamp Switch 13 ABS — ABS Relay
This content requires JavaScript and a valid membership to view.
Relays
Assignment of the fuses in the Engine Compartment Fuse Box №2 (1998, 1999)
Fuse Data
Full access is available to registered users — log in or register.
Log in or register
No. Description 14 ABS — Anti-Lock Brake System 15 FAN CONT #3 — Secondary Cooling Fan (Passenger’s Side) 16 HORN
This content requires JavaScript and a valid membership to view.
FAQ